本文作者:eth

Binance上币全解析:Alpha、IDO、Futures、Spot与后续CEX表现深度拆解

eth 06-11 14
Binance上币全解析:Alpha、IDO、Futures、Spot与后续CEX表现深度拆解摘要: 作者:Retardiño,来源:IOSG Ventures 本研究全面分析了Binance四大上币渠道——Alpha、IDO、Futures和Spot的代币生命周期表现,并跟踪...

作者:Retardiño,来源:IOSG Ventures

本研究全面分析了Binance四大上币渠道——Alpha、IDO、Futures和Spot的代币生命周期表现,并跟踪其在Bitget、Bybit、Coinbase、Upbit等主流交易所的上线情况,重点考察回报率、上币节奏、赛道偏好及FDV分布。

1. 表现回顾

  • 多数渠道的14天FDV中位数为负,表明上线即估值高点;

  • Binance Alpha表现最具爆发力(均值220%),但波动性较大;

  • Binance IDO兼具短期涨幅与较高转化率(至Futures和Spot);

  • Binance Spot短期表现最弱,或因成为早期投资人退出点;

  • Bitget和Coinbase在二级市场表现亮眼,Bybit和Upbit表现一般。

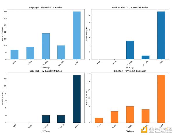
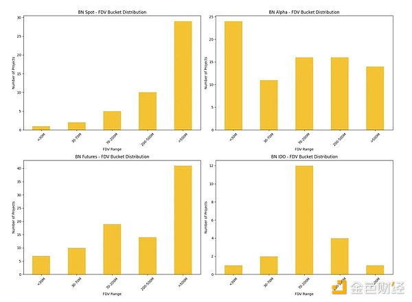
2. 按FDV区间选择平台

  • Binance Spot偏好大市值项目(>$500M);

  • Alpha主要支持< $200M的早期项目,适合试水;

  • IDO聚焦于$70M–$200M的中型项目;

  • Bitget / Bybit区间灵活,但更偏向有增长势能或大市值项目;

  • Coinbase / Upbit偏好合规性强、估值高的项目。

3. 上币时间预期

  • Alpha → Spot:平均约60天;

  • IDO → Spot:平均约17天;

  • Futures → Spot:平均仅14天;

  • Futures可能是最快捷的通道。

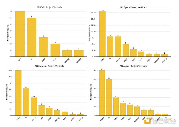
4. 赛道偏好

  • Alpha:偏好Meme、AI;

  • IDO:偏好Infra、AI;

  • Spot:覆盖Infra、Meme、AI;

  • Futures:更广泛,主打Infra、AI、Meme;

  • 项目方需根据平台偏好调整叙事方向。

5. 上币路径进阶

  • Alpha → Futures:转化率37.8%;

  • Alpha → Spot:转化率12.2%;

  • IDO → Futures:转化率66.7%;

  • IDO → Spot:转化率23.8%;

  • 实现约40%的FDV上涨是进入下阶段平台的共性特征。

6. 替代平台表现

  • Bitget是最具承接力的其他CEX,尤其对Alpha/IDO项目友好;

  • Bybit对IDO项目也有较高承接意愿;

  • Coinbase / Upbit上线项目极少,审核严格,周期较长。

本研究聚焦Binance的上币渠道(Alpha、社区普遍称作IDO的Exclusive TGE、Futures和Spot)中代币的生命周期,并跟踪这些项目在Bitget、Bybit、Upbit和Coinbase等中心化交易所上的后续上线路径。分析涵盖代币回报表现、上线时机、赛道偏好及估值分布(FDV dynamics),旨在为项目方提供战略性的上币路径建议,也为投资者建立基于数据的价格发现与交易策略评估框架。

术语解释:Binance的Spot / Futures / IDO / Alpha上市分别指什么?

Binance Spot(现货)是最基础的交易平台,用户可按市价买入或卖出代币。

Binance Futures(合约)提供加密货币衍生品交易服务,支持杠杆。

Binance IDO是面向散户用户的公募渠道,通常发生在代币正式上线前。

Binance Alpha是Binance推出的代币发现平台,支持早期潜力项目。

研究范围

本研究仅纳入2025年2月后的上线事件,过滤过时逻辑以贴合当前动态。

jivp6uhunsRhLuQqaLQklI7LSW6KtRq5lKmZTzPv.jpeg

JxpODXG7jHm6SuINpXL6X5tTY4EearxuFvjBowja.jpeg

6Ga4rfuNFAjmR9KPmInHosbVxwK9A3YZXPESgFy1.jpeg

ijKFbZXZuFqS5Pg2tYAi289T6LGoBglbEXVrs5rc.jpeg

cAm6IUCPvpENSjMX28oWOv3qi06JrHJmIpYT0MmI.jpeg

BJ62fPqgOIzaWyajC8wJmZbFNEgskEexSWKuZJQt.jpeg

iKNZbO20WYxOm2bjTioQXSki6kaGuLMoM6whBVyX.jpeg

YKyuSPFCSpUAnZuE64dJrIabcZs2kXYHp5kphATt.jpeg

jBa2FINGulSePnqbmMViBMERN9TbDV97T6qYLcFl.jpeg

0ehOWigLMg4FvnQ9oIbEIrZOzv9trCNNzYrdhHUN.jpeg

8EyIkppniamGTU7HzGFlTNkh6iQgP3rOB1vexqb3.jpeg

结论

Binance Alpha和IDO作为前置平台各有优势:Alpha适合早期曝光,IDO更具品牌背书和转化率。然而,最终晋升Binance Spot的比例仍较低,因此项目方需精准规划节奏与策略。

阅读